【红色记忆】川陕革命根据地苍溪县工运简况‖吴中桦
川陕革命根据地苍溪县工运简况
吴中桦
原苍溪县麻纺厂吴从宪收藏着一本极其珍贵的《川陕革命根据地苍溪县工运史料》,该书再现了1933年6月至1935年4月苍溪县广大工人阶级在中国共产党和红四方面军领导下,艰苦奋斗,不屈不挠,为支援红军,保卫和建设苏区立下了不朽功勋。为让更多的人知道和了解这段历史,现将该书中关于川陕革命根据地苍溪县工运的简况分享给广大读者。

《川陕革命根据地苍溪县工运史料》(原苍溪县麻纺厂吴从宪收藏)
川陕革命根据地工会的组建和发展,是当年中国共产党在川陕苏区治理根据地的重要组成部分。在中国共产党领导下,川陕苏区各级工会团结带领工人阶级,为根据地政治、经济、军事、文化和社会建设作出了重大贡献。
1932年底至1935年3月,川陕革命根据地在两年多时间里,总共组织了23个县市工会、160余个区工会,吸收了10万名左右各业工人参加到工会组织中。川陕革命根据地各级工会积极组建工人武装,扩大红军队伍,直接参加革命战争,主要由工人和民工组成的大量运输队伍为战争服务,组织工人阶级参与工业生产,为保证战争需要作出了重要贡献。

苍溪县革命根据地示意图(原苍溪县麻纺厂吴从宪收藏)


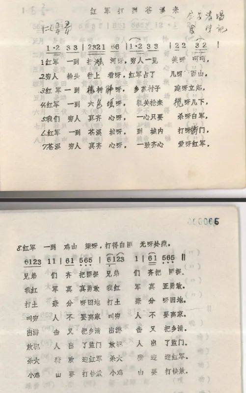
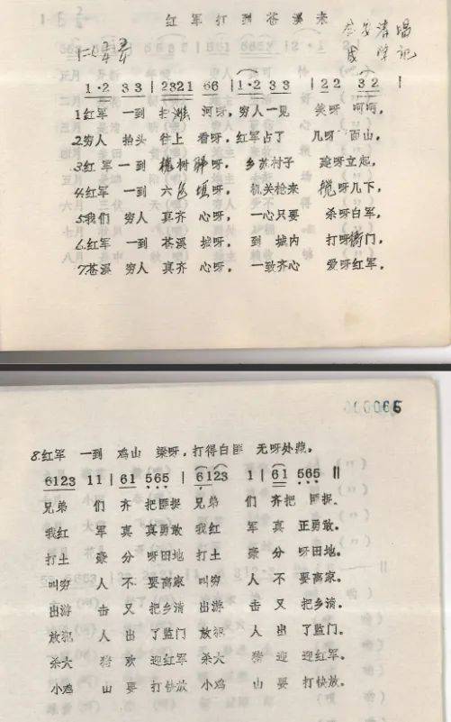
歌曲《红军打到苍溪来》(原苍溪县麻纺厂吴从宪收藏)
1933年6月至1935年4月,苍溪县境内先后两次建立了文昌、石马、龙山、东溪、岳东、白庙、三川、新观、元坝、永宁、云丰、东青、马桑13个区苏维埃,七十几个乡苏维埃,五百余村苏维埃,同时也建立了县、区、乡工会组织。当时,一切为了扩大红军,可以说,县苏维埃以及区、乡政权和群团组织,从它诞生之日起,在战斗中成长、发展和壮大。那时,工农劳苦群众在工会领导下,组织起来,一起为了扩大红军,巩固革命根据地,充分发挥了劳苦群众的积极性,特别是各工厂的工人对支前工作起到了很大的作用。

1933年县工会旧址和工人团部旧址照(原苍溪县麻纺厂吴从宪收藏)

1933年造船厂工地、职工食堂、铁工小组及工人宿舍照(原苍溪县麻纺厂吴从宪收藏)

《川陕苏区县、区、乡、村工会组织一览表》(原苍溪县麻纺厂吴从宪收藏)
1933年9月8日,川陕省苍溪县第一工农代表大会在苍溪县东北的文昌场胜利召开,大会通过的《决议书》第六项指出:“迅速要将县工会及各区、乡工会完全建立与健全起来,切实执行劳动法令,并最低限度增加百分之四十工资。”当年9月中旬苍溪县县工会成立,接着相继建立了区、乡工会。当时工会工作的任务,除抓好县直属几个厂外,还经常到各区、乡工会宣传号召泥、木、石、铁、篾等手工业工人要组织起来保卫苏维埃政权,宣传教育广大红军,领导贫农团查田评户,打土豪分田地和介绍工人工作、检查工厂的安全保卫等。红军来后,在苏维埃政府发展工业生产的方针和政策指引下,为支援前线和建设苏维埃政权机关的需要,分别办起军工厂、制服厂、斗笠厂、造船厂、制鞋厂、渔业社、火药局等。

1933年工人给红军打的刀矛及打灶用的工具照(原苍溪县麻纺厂吴从宪收藏)

1933年兵工厂制造杀敌武器及红军缝衣服用的工具照(原苍溪县麻纺厂吴从宪收藏)

红军时期石刻标语照(原苍溪县麻纺厂吴从宪收藏)
以苍溪县为代表的川陕革命根据地各级工会,为根据地的创建、巩固和发展发挥了重要作用,主要体现在以下几个方面。
一是组织工人武装,扩大了红军队伍,直接为革命战争作出贡献。
二是组织石工工人錾刻石刻标语,积极宣传革命。
三是积极组织和参与工业生产,为保证战争需要作出了重大贡献。
四是组织运输,疏通河道,为红军战略转移和赢得战争胜利创造了条件。
五是积极组织参加生产,多打粮食,有效保障苏区军民粮食供给。
六是组织工会的工人积极参加农村分田查地、代耕红军家属的土地,组织和团结贫农团,与广大农民一道积极开展农业生产,支援和保证了苏区革命斗争的需要。
川陕革命根据地的工会组织是在共产党和红军的领导帮助下,建立的一个十分重要的群众组织,为根据地建立、巩固发展发挥了不可替代的作用,在巩固苏维埃的伟大斗争中发挥了重要作用,其历史功绩值得充分肯定。
来源: 四川省地方志工作办公室
文/图:吴中桦(高级经济师,全国注册安全工程师,人力资源管理师,民盟盟员,四川省作家协会会员,成都市作家协会会员,四川省地方志学会理事。现为中铁隆工程集团有限公司工会副主席)

用户登录
还没有账号?
立即注册