2025年全国二卷数学高考真题带答案带解析带分值文字版
(网络收集)
2025年全国二卷数学高考真题带答案带解析带分值文字版
一、单选题:本题共8小题,每小题5分,共40分,每小题只有一个选项符合要求
1.样本数据2,8,14,16,20的平均数为
A.8
B.9
C.12
D.18
【答案】C
【解析】本题考查了样本平均数,考查运算能力![]()
故答案为C
【分值】5分
2.已知
,则![]()
A.![]()
B.![]()
C.-1
D.1
【答案】A
【解析】本题考查了复数的运算
,![]()
【分值】5分
3.已知集合
,
,则![]()
A.![]()
B.![]()
C.![]()
D.![]()
【答案】D
【解析】本题考查了集合的运算、交集、解方程.
由 B:
![]()
![]()
,![]()
![]()
![]()
![]()
【分值】5分
4.不等式
的解集是
A.![]()
B.![]()
C.![]()
D.![]()
【答案】C
【解析】本题考查了解分式不等式
移项:![]()
通分![]()
等价转化为
解得:![]()
【分值】5分
5.在
中,
,
,
,则![]()
A.![]()
B.![]()
C.![]()
D.![]()
【答案】A
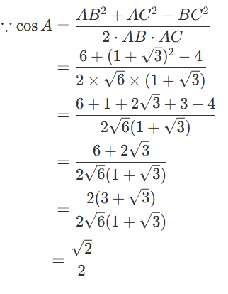
【解析】本题考查了余弦定理的应用.
,
故选
.
【分值】5分
6.设抛物线C:
的焦点为
,点A在C上,过
作
的准线的垂线,垂足为
.若直线BF的方程为
,则![]()
A.3
B.4
C.5
D.6
【答案】C
【解析】本题考查了抛物线的定义,考查了直线与抛物线的位置关系.
如图:
直线
:
,令
,
,
,
抛物线方程为
准线方程为
设
,
令
,
则
代入
中,得
故选C.
【分值】5分
7.记
为等差数列
的前
项和,若
,
,则![]()
A.-20
B.-15
C.-10
D.-5
【答案】B
【解析】本题考查了等差数列的求和公式
,
即
解得
,![]()
![]()
故选B
【分值】5分
8.已知
,
,则![]()
A.![]()
B.![]()
C.![]()
D.![]()
【答案】D
【解析】
![]()
![]()
故选D
【分值】5分
二、多选题:本题共3小题,每小题6分,共18分.在每小题给出的四个选项中,有多项符合题目要求.生部选对的得6分,部分选对的得部分分,有选错的得0分.
9.记
为等比数列
的前
项和,
为
的公比,
若
,则
A.![]()
B.![]()
C.![]()
D.![]()
【答案】AD
【解析】本题考查了等比数列的通项公式、等比数列的求和公式
,
,![]()
,即![]()
,即![]()
整理得
,解得
,
(舍)
故A正确
,故B错误![]()
,故C错误![]()
![]()
![]()
故D正确
【分值】6分
10.已知
是定义在
上的奇函数,且当x>0时,
,则
A.![]()
B.当x<0时,![]()
C.
,当且仅当![]()
D.
是
的极大值点
【答案】ABD
【解析】本题考查了函数的奇偶性、对称性,导数研究函数的单调性、极值
∵
在
上为奇函数,
时,
![]()
设![]()
![]()
,![]()
当
时,![]()
故B正确
由奇函数的性质,
,
,故A正确
因为
是奇函数,图像关于(0,0)对称,不妨先研究
时
的性质,
当
时,
令
,
则
与
的情况如下表
故由函数关于原点对称,其图像大致如下
故
正确
由图像可知,
,当
时,
的解集不是空集,故
错误
【分值】6分
11.双曲线
的左、右焦点为
,左、右顶点分别为
.以
为直径的圆与曲线
的一条渐近线交于
两点,且
,则
A.![]()
B.![]()
C.
的离心率为![]()
D.当
时,四边形
的面积为![]()
【答案】ACD
【解析】本题考查了双曲线的性质,双曲线的渐近线,考查了直线与圆相交,以及求双曲线的离心率.
如图
双曲线的渐近线为
过
为直径的圆方程为
轴
,A正确
则
中,
,
错误
正确
当
时,
,
正确
【分值】6分
三、填空题:本题共3小题,每小题5分,共15分
12.已知平面向量
,
,若
,则
____
【答案】![]()
【解析】本题考查了向量的坐标运算和向量垂直的条件及向量的模.
,
,![]()
![]()
![]()
![]()
![]()
故答案为
.
【分值】5分
13.若
是函数
的极值点,则
____
【答案】-4
【解析】本题考查了利用导数研究函数的极值,由极值点求参数的值.
![]()
![]()
![]()
![]()
![]()
故答案为
.
【分值】5分
14.一个底面半径为
,高为
的封闭圆柱形容器(容器壁厚度忽略不计)内有两个半径相等的铁球,则铁球半径的最大值为____
.
【答案】2.5
【解析】本题考查了立体几何中的球的切接问题.
如图:作出圆柱与球的轴截面
故答案为2.5
【分值】5分
四、解答题:本题共5小题,共77分,解答应写出文字说明,证明过程或演算步骤
15.已知函数
(1)求
.
(2)设函数
,求
的值域和单调区间.
【答案】(1)
(2)g(x)的值域:
,增区间:
减区间:![]()
【解析】本题考查了三角恒等变换、三角函数的值域和单调区间的求法
【分值】13分
16.已知椭圆
的离心率为
,长轴长为
.
(1)求
的方程.
(2)过点
的直线
与
交于
,
为坐标原点.若△OAB的面积为
,求
.
【答案】(1)![]()
(2)![]()
【解析】本题考查了椭圆标准方程的求法,直线与椭圆的位置关系、弦长公式等知识.
【分值】15分
17.如图,四边形ABCD中,AB∥CD,∠DAB=90°,F为CD中点,E在AB上,EF∥AD,AB=3AD,CD=2AD.将四边形EFDA沿EF翻折至四边形
,使得面
与面
所成的二面角为
.
(1)证明:
平面
.
(2)求面
与面
所成的二面角的正弦值.
【答案】(1)见解析
(2)![]()
【解析】本题考查了线面平行的证明,及空间向量求二面角的知识.
(1)
![]()
面
,
面
面![]()
![]()
面
,
面
面![]()
又
,EB,
面![]()
平面
面![]()
面
面![]()
(2)由折叠关系知,
,![]()
![]()
,![]()
不妨设
,
,
为
中点,
,
为等边三角形
,
面
,取
中点
,连![]()
可知
,
,
,
面![]()
以
为原点,与
平行的直线为
轴,
所在直线为
轴,
所在直线为
轴,建立如图所示空间直角坐标系


设平面
的法向量为![]()
,即
,取
,则
,![]()
![]()
设平面
的一个法向量为![]()
,即
,取![]()
![]()
![]()
设平面
与面
(同前,应为
)所成的二面角为![]()

【分值】15分
18.已知函数
,其中
.
(1)证明:
在区间
存在唯一的极值点和唯一的零点.
(2)设
,
分别为
在区间
的极值点和零点.
①设函数
.证明:
在区间
单调递减
②比较
与
的大小,并证明你的结论.
【答案】(1)见解析
(2)①见解析
②![]()
【解析】本题主要考查了函数的极值点和零点,利用导数证明函数的单调性,及比较大小.
(1) ![]()
![]()
令
则
,
令
,
在
单调递增,
令
,
在
单调递减
在
处取得极大值,
即
在
存在唯一极值点
又
,
,
当
,
,
在
存在唯一零点.
(2)①由(1)知
,则![]()
![]()
![]()
![]()
![]()
![]()
![]()
![]()
![]()
![]()
![]()
![]()
即![]()
,即
在
上单调递减
【分值】17分
19.甲、乙两人进行乒乓球练习,每个球胜者得
分,负者得
分.设每个球甲胜的概率为
,乙胜的概率为
,
,且各球胜负相互独立,对正整数
,记
为打完
个球后甲比乙至少多得
分的概率,
为打完
个的球后乙比甲至少多得
分的概率.
(1)求
,
(用
表示).
(2)若
,求
.
(3)证明:对任意正整
,
.
【答案】(1)![]()
(2)
(3)见解析
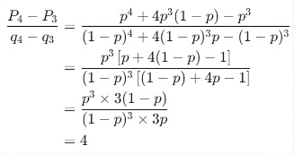
【解析】(1)
![]()
![]()
(2) 
![]()
(3)记
表示
球甲得
分的概率.![]()
![]()
故 ![]()
![]()
故要证:![]()
只需证:![]()
即只需证:
即
,由条件
,故结论成立.
由![]()
![]()
现在,考虑不等式右边
.
只需证 ![]()
![]()
只需证:![]()
只需证 ![]()
只需证:![]()
因为
且 ![]()
故上面不等式成立,证毕.
【分值】17分